电脑桌面
添加蜗牛文库到电脑桌面
安装后可以在桌面快捷访问

专题十四 数系的扩充与复数的引入第四十讲复数的计算答案.pdfVIP免费

专题十四 数系的扩充与复数的引入第四十讲复数的计算答案.pdf_第1页
专题十四 数系的扩充与复数的引入第四十讲复数的计算答案.pdf_第2页
专题十四 数系的扩充与复数的引入第四十讲复数的计算答案.pdf_第3页
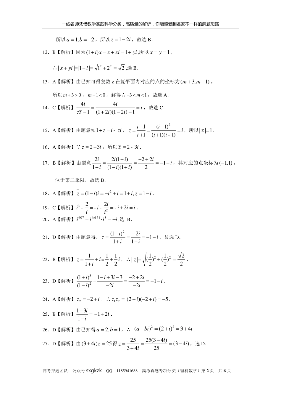
一线名师凭借教学实践科学分类,高质量的解析,你能感受到名家不一样的解题思路高考押题团队:公众号sxgkzkQQ:1185941688高考真题专项分类(理科数学)第1页—共6页专题十四数系的扩充与复数的引入第四十讲复数的计算答案部分1.D【解析】11i1i11i1i(1i)(1i)222,其共轭复数为11i22,对应的点为11(,)22,故选D.2.C【解析】因为21i(1i)2i=2ii2ii1i(1i)(1i)z,所以|z|1,故选C.3.D【解析】12i(12i)(12i)34i12i(12i)(12i)55,故选D.4.D【解析】2(1i)(2i)2i2ii3i.故选D.5.B【解析】因为22(1i)1i1i(1i)(1i),所以复数21i的共轭复数为1i.故选B.6.B【解析】设izab(,abR),则2211i(i)abzababR,得0b,所以zR,1p正确;2222(i)2izabababR,则0ab,即0a或0b,不能确定zR,2p不正确;若zR,则0b,此时izabaR,4p正确.选B.7.D【解析】3i(3i)(1i)2i1i(1i)(1i),选D.8.C【解析】由(1i)2zi,得2i1i1iz,所以22||112z.选C.9.A【解析】由3,4zaizz得234a,所以1a,故选A.10.B【解析】(1i)(i)(1)(1)izaaa,因为对应的点在第二象限,∴1010aa,解得1a,故选B.11.B【解析】设(,)zabiabR,则zabi,故22()332zzabiabiabii,一线名师凭借教学实践科学分类,高质量的解析,你能感受到名家不一样的解题思路高考押题团队:公众号sxgkzkQQ:1185941688高考真题专项分类(理科数学)第2页—共6页所以1,2ab,所以12zi,故选B.12.B【解析】因为(1)1ixxxiyi,所以1xy,∴22|||1|122xyii,选B.13.A【解析】由已知可得复数z在复平面内对应的点的坐标为(3,1)mm,所以30m,10m,解得∴31m,故选A.14.C【解析】441(12)(12)1iiizzii,故选C.15.A【解析】由题意知1zizi+=-,21(1)1(1)(1)iiziiii--===++-,所以|z|1=.16.A【解析】 23zi=+,所以23zi=-.17.B【解析】由题意22(1)2211(1)(1)2iiiiiiii,其对应的点坐标为(1,1),位于第二象限,故选B.18.A【解析】2(1)1,1ziiiiizi.19.C【解析】32222iiiiiiii-=--=-+=.20.A【解析】iiii315...

1、当您付费下载文档后,您只拥有了使用权限,并不意味着购买了版权,文档只能用于自身使用,不得用于其他商业用途(如 [转卖]进行直接盈利或[编辑后售卖]进行间接盈利)。
2、本站所有内容均由合作方或网友上传,本站不对文档的完整性、权威性及其观点立场正确性做任何保证或承诺!文档内容仅供研究参考,付费前请自行鉴别。
3、如文档内容存在违规,或者侵犯商业秘密、侵犯著作权等,请点击“违规举报”。

碎片内容

蜗牛文库的最新文档

二年级数学下册其中检测卷二年级数学下册其中检测卷附答案#期中测试卷.pdf
10.00金币
0下载
二年级数学下册期末质检卷(苏教版)二年级数学下册期末质检卷(苏教版)#期末复习 #期末测试卷 #二年级数学 #二年级数学下册#关注我持续更新小学知识.pdf
10.00金币
0下载
二年级数学下册期末混合运算专项练习二年级数学下册期末混合运算专项练习#二年级#二年级数学下册#关注我持续更新小学知识 #知识分享 #家长收藏孩子受益.pdf
10.00金币
1下载
二年级数学下册年月日三类周期问题解题方法二年级数学下册年月日三类周期问题解题方法#二年级#二年级数学下册#知识分享 #关注我持续更新小学知识 #家长收藏孩子受益.pdf
10.00金币
0下载
二年级数学下册解决问题专项训练二年级数学下册解决问题专项训练#专项训练#解决问题#二年级#二年级数学下册#知识分享.pdf
10.00金币
1下载
二年级数学下册还原问题二年级数学下册还原问题#二年级#二年级数学#关注我持续更新小学知识 #知识分享 #家长收藏孩子受益.pdf
10.00金币
1下载
二年级数学下册第六单元考试卷家长打印出来给孩子测试测试争取拿到高分!#小学二年级试卷分享 #二年级第六单考试数学 #第六单考试#二年级数学下册.pdf
10.00金币
0下载
二年级数学下册必背顺口溜口诀汇总二年级数学下册必背顺口溜口诀汇总#二年级#二年级数学下册 #知识分享 #家长收藏孩子受益 #关注我持续更新小学知识.pdf
10.00金币
0下载
二年级数学下册《重点难点思维题》两大问题解决技巧和方法巧算星期几解决周期问题还原问题强化思维训练老师精心整理家长可以打印出来给孩子练习#家长收藏孩子受益 #学霸秘籍 #思维训练 #二年级 #知识点总结.pdf
10.00金币
0下载
二年级数学下册 必背公式大全寒假提前背一背开学更轻松#二年级 #二年级数学 #二年级数学下册 #寒假充电计划 #公式.pdf
10.00金币
0下载
蜗牛文库+ 关注
实名认证
内容提供者

提供各种专业文档内容

确认删除?
QQ
  • QQ点击这里给我发消息
微信客服
  • 微信客服
回到顶部