电脑桌面
添加蜗牛文库到电脑桌面
安装后可以在桌面快捷访问

2017年上海高三数学春考试卷(含答案).docxVIP免费

2017年上海高三数学春考试卷(含答案).docx_第1页
2017年上海高三数学春考试卷(含答案).docx_第2页
2017年上海高三数学春考试卷(含答案).docx_第3页
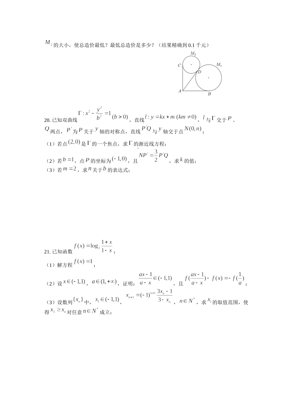
2017年上海市春季高考数学试卷2017.1一.填空题(本大题共12题,满分54分,第1~6题每题4分,第7~12题每题5分)1.设集合,集合,则;2.不等式的解集为;3.若复数满足(是虚数单位),则;4.若,则;5.若关于、的方程组无解,则实数;6.若等差数列的前5项的和为25,则;7.若、是圆上的动点,则的最大值为;8.已知数列的通项公式为,则;9.若的二项展开式的各项系数之和为729,则该展开式中常数项的值为;10.设椭圆的左、右焦点分别为、,点在该椭圆上,则使得△是等腰三角形的点的个数是;11.设、、…、为1、2、3、4、5、6的一个排列,则满足的不同排列的个数为;12.设、,若函数在区间上有两个不同的零点,则的取值范围为;二.选择题(本大题共4题,每题5分,共20分)13.函数的单调递增区间是()A.B.C.D.14.设,“”是“”的()条件A.充分非必要B.必要非充分C.充要D.既非充分也非必要15.过正方体中心的平面截正方体所得的截面中,不可能的图形是()A.三角形B.长方形C.对角线不相等的菱形D.六边形16.如图所示,正八边形的边长为2,若为该正八边形边上的动点,则的取值范围为()A.B.C.D.三.解答题(本大题共5题,共14+14+14+16+18=76分)17.如图,长方体中,,;(1)求四棱锥的体积;(2)求异面直线与所成角的大小;18.设,函数;(1)求的值,使得为奇函数;(2)若对任意成立,求的取值范围;19.某景区欲建造两条圆形观景步道、(宽度忽略不计),如图所示,已知,(单位:米),要求圆与、分别相切于点、,圆与、分别相切于点、;(1)若,求圆、的半径(结果精确到0.1米)(2)若观景步道与的造价分别为每米0.8千元与每米0.9千元,如何设计圆、的大小,使总造价最低?最低总造价是多少?(结果精确到0.1千元)20.已知双曲线,直线,与交于、两点,为关于轴的对称点,直线与轴交于点;(1)若点是的一个焦点,求的渐近线方程;(2)若,点的坐标为,且,求的值;(3)若,求关于的表达式;21.已知函数;(1)解方程;(2)设,,证明:,且;(3)设数列中,,,,求的取值范围,使得对任意成立;参考答案一.填空题1.2.3.4.5.66.107.28.9.16010.611.4812.二.选择题13.D14.C15.A16.B三.解答题17.(1);(2);18.(1);(2);19.(1)半径,半径;(2)半径30,半径20,造价千元;20.(1);(2);(3)略;21.(1);(2)略;(3)略;

1、当您付费下载文档后,您只拥有了使用权限,并不意味着购买了版权,文档只能用于自身使用,不得用于其他商业用途(如 [转卖]进行直接盈利或[编辑后售卖]进行间接盈利)。
2、本站所有内容均由合作方或网友上传,本站不对文档的完整性、权威性及其观点立场正确性做任何保证或承诺!文档内容仅供研究参考,付费前请自行鉴别。
3、如文档内容存在违规,或者侵犯商业秘密、侵犯著作权等,请点击“违规举报”。

碎片内容

蜗牛文库的最新文档

二年级数学下册其中检测卷二年级数学下册其中检测卷附答案#期中测试卷.pdf
10.00金币
0下载
二年级数学下册期末质检卷(苏教版)二年级数学下册期末质检卷(苏教版)#期末复习 #期末测试卷 #二年级数学 #二年级数学下册#关注我持续更新小学知识.pdf
10.00金币
0下载
二年级数学下册期末混合运算专项练习二年级数学下册期末混合运算专项练习#二年级#二年级数学下册#关注我持续更新小学知识 #知识分享 #家长收藏孩子受益.pdf
10.00金币
1下载
二年级数学下册年月日三类周期问题解题方法二年级数学下册年月日三类周期问题解题方法#二年级#二年级数学下册#知识分享 #关注我持续更新小学知识 #家长收藏孩子受益.pdf
10.00金币
0下载
二年级数学下册解决问题专项训练二年级数学下册解决问题专项训练#专项训练#解决问题#二年级#二年级数学下册#知识分享.pdf
10.00金币
1下载
二年级数学下册还原问题二年级数学下册还原问题#二年级#二年级数学#关注我持续更新小学知识 #知识分享 #家长收藏孩子受益.pdf
10.00金币
1下载
二年级数学下册第六单元考试卷家长打印出来给孩子测试测试争取拿到高分!#小学二年级试卷分享 #二年级第六单考试数学 #第六单考试#二年级数学下册.pdf
10.00金币
0下载
二年级数学下册必背顺口溜口诀汇总二年级数学下册必背顺口溜口诀汇总#二年级#二年级数学下册 #知识分享 #家长收藏孩子受益 #关注我持续更新小学知识.pdf
10.00金币
0下载
二年级数学下册《重点难点思维题》两大问题解决技巧和方法巧算星期几解决周期问题还原问题强化思维训练老师精心整理家长可以打印出来给孩子练习#家长收藏孩子受益 #学霸秘籍 #思维训练 #二年级 #知识点总结.pdf
10.00金币
0下载
二年级数学下册 必背公式大全寒假提前背一背开学更轻松#二年级 #二年级数学 #二年级数学下册 #寒假充电计划 #公式.pdf
10.00金币
0下载
蜗牛文库+ 关注
实名认证
内容提供者

提供各种专业文档内容

确认删除?
QQ
  • QQ点击这里给我发消息
微信客服
  • 微信客服
回到顶部