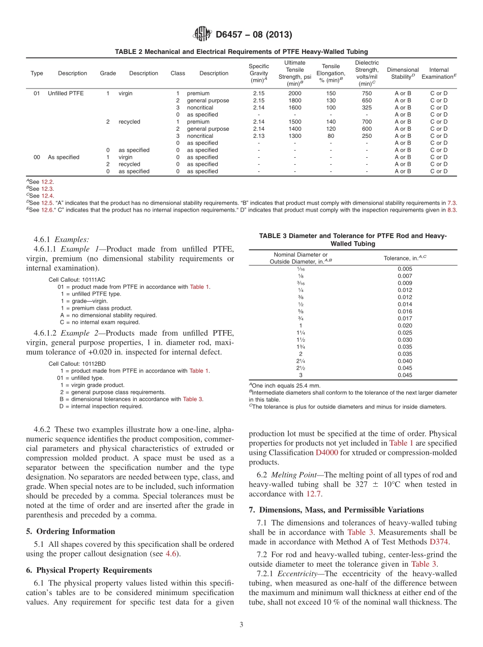
Designation:D6457−08(Reapproved2013)StandardSpecificationforExtrudedandCompressionMoldedRodandHeavy-WalledTubingMadefromPolytetrafluoroethylene(PTFE)1ThisstandardisissuedunderthefixeddesignationD6457;thenumberimmediatelyfollowingthedesignationindicatestheyearoforiginaladoptionor,inthecaseofrevision,theyearoflastrevision.Anumberinparenthesesindicatestheyearoflastreapproval.Asuperscriptepsilon(´)indicatesaneditorialchangesincethelastrevisionorreapproval.1.Scope1.1Thisspecificationisintendedtobeameansofcallingoutplasticproductusedinthefabricationofenditemsorparts.1.2Thisspecificationcoversrequirementsandtestmethodsforthematerial,dimensions,andworkmanship,andtheprop-ertiesofextruded-andcompression-moldedrod,andheavy-walledtubemanufacturedfromgranularunfilledPTFEresininaccordancewithSpecificationD4894.1.3Thisspecificationcoversrodandheavy-walledtubingmadewhollyfrompolytetrafluoroethyleneandproducedinaccordancewithgoodcommercialpractice.1.4Thepropertiesincludedinthisspecificationarethoserequiredforthecompositionscovered.Requirementsneces-sarytoidentifyparticularcharacteristicsimportanttospecial-izedapplicationsaredescribedbyusingtheclassificationsystemgiveninSection4.1.5ThisspecificationallowsfortheuseofrecycledplasticsasdefinedinGuideD7209.1.6Thevaluesstatedininch-poundunitsaretoberegardedasthestandardinallpropertyanddimensionaltables.1.7Thisstandarddoesnotpurporttoaddressallofthesafetyconcerns,ifany,associatedwithitsuse.Itistheresponsibilityoftheuserofthisstandardtoestablishappro-priatesafetyandhealthpracticesanddeterminetheapplica-bilityofregulatorylimitationspriortouse.NOTE1—AlthoughthisspecificationandISO13000-1andISO13000-2differinapproachordetail,dataobtainedusingeitheraretechnicallyequivalent.2.ReferencedDocuments2.1ASTMStandards:2D374TestMethodsforThicknessofSolidElectricalInsu-lation(Withdrawn2013)3D638TestMethodforTensilePropertiesofPlasticsD792TestMethodsforDensityandSpecificGravity(Rela-tiveDensity)ofPlasticsbyDisplacementD883TerminologyRelatingtoPlasti...