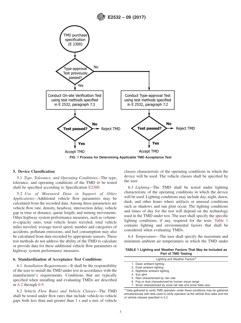
Designation:E2532−09(Reapproved2017)StandardTestMethodsforEvaluatingPerformanceofHighwayTrafficMonitoringDevices1ThisstandardisissuedunderthefixeddesignationE2532;thenumberimmediatelyfollowingthedesignationindicatestheyearoforiginaladoptionor,inthecaseofrevision,theyearoflastrevision.Anumberinparenthesesindicatestheyearoflastreapproval.Asuperscriptepsilon(´)indicatesaneditorialchangesincethelastrevisionorreapproval.1.Scope1.1Purpose—Thetwotestmethodscontainedinthisstan-darddefineacceptancetestsforevaluatingtheperformanceofaTrafficMonitoringDevice(TMD)accordingtothefunctionsitperforms,thedataitprovides,therequiredaccuracyofthedata,andtheconditionsunderwhichthedeviceoperates.AcceptancetestsarerecommendedwheneveraTMDispurchased,installed,orperformancevalidationisdesired.ThetestsareperformedinafieldenvironmentandresultinanacceptorarejectdecisionfortheTMDundertest.1.2Exceptions—ExceptionsandoptionstothetestmethodsmaybeincludedinanyderivativetestmethodpresentedbyauseraspartoftheprocurementprocessforTMDs.Sellersmayofferexceptionsandoptionsinrespondingtoaninvitationtobid.1.3Units—Thevaluesstatedininch-poundunitsaretoberegardedasstandard.ThevaluesgiveninparenthesesaremathematicalconversionstoSIunits,2whichareprovidedforinformationonlyandarenotconsideredstandard.1.4ThefollowingsafetyproceduresapplytoSections6and7,whichdescribethedetailsoftheacceptancetestmethods.Whenatestsiteaccessiblebythepublic(forexample,astreetorhighway)isusedfortheacceptancetestoftheTMD,obtainapprovalfromthepublicauthorityhavingjurisdictionoverthesiteforthetrafficcontrolprocedurestobeusedduringthetest.Thisstandarddoesnotpurporttoaddressallofthesafetyconcerns,ifany,associatedwithitsuse.Itistheresponsibilityoftheuserofthisstandardtoestablishappropriatesafetyandhealthpracticesanddeterminetheapplicabilityofregulatorylimitationspriortouse.2.ReferencedDocuments2.1ASTMStandards:3E177PracticeforUseoftheTermsPrecisionandBiasinASTMTestMethodsE867TerminologyRelatingtoVehicle-PavementSystemsE1318Specificatio...